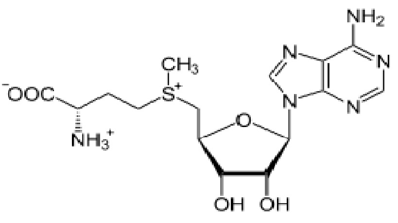
S-Adenosilmetionina; AdoMet

S-Adenosilmetionina; AdoMet