Мордкович 11 Класс Профильный Уровень Решебник ...
Учебник По 10-11 Класс Алимов Торрент - filesnotes
номер 11 страница 195 гдз по алгебре 10 класс А...
Решебник к сборнику задач по Алгебре 11 класс –...
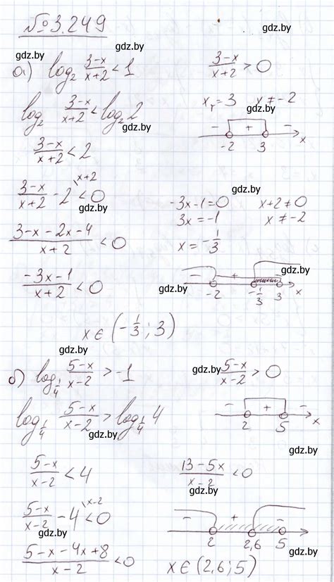
номер 249 страница 159 гдз по алгебре 11 класс ...
Учебник 11 Класса По Профильной Физике - nethelper
Учебники 11 класс
Анна Арефьева Биография Фото – Telegraph
Арефьева Актриса Фото – Telegraph
ГДЗ по алгебре 11 класс
Решебник по Алгебре 11 класс – Арефьева | Супер...
ГДЗ по английскому языку рабочая тетрадь 11 кла...
Готовые самост. и контр. по Алгебре 11 класс – ...
решебник по Алгебре 11 класс к учебнику Алимова...
Математика Афанасьева - учебник для 11 класса п...
ГДЗ по математике 11 класс экзаменационные зада...
Учебник по математике 11 класс Афанасьева, Брод...
школа 11 | PDF
11 класс... | Пикабу
Фото Учебника 11 Класса – Telegraph
11 класс — Решаем всё!
ГДЗ 11 класс, ответы и решебник с объяснением |...
ГДЗ по английскому языку 11 класс Рабочая тетра...
(Решено)Упр.11 ГДЗ Рыбченкова Александрова 10-1...
11 класс
EİS – 11.Sınıf – Daf – Matematik – Bilgi Yolu K...
ГДЗ по английскому языку 11 класс Афанасьева, Д...