номер 341 (страница 108) гдз по алгебре 10-11 к...
номер 590 (страница 178) гдз по алгебре 10-11 к...
алгебра 10 класс алимов
номер 296 (страница 95) гдз по алгебре 10-11 кл...
номер 623 (страница 192) гдз по алгебре 10-11 к...
ГДЗ Номер 491 Алгебра 10 класс Алимов | Гаранти...
Математика 10 Класс Учебник Онлайн - instructio...
Номер №1001 - решебник по алгебре за 10-11 клас...
номер 169 (страница 68) гдз по алгебре 10-11 кл...
номер 121 (страница 46) гдз по алгебре 10-11 кл...
номер 737 (страница 222) гдз по алгебре 10-11 к...
ГДЗ проверь себя, глава 10 алгебра 10‐11 класс ...
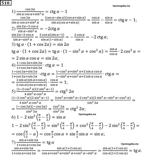
Номер №510 - решебник по алгебре за 10-11 класс...
номер 393 (страница 115) гдз по алгебре 10-11 к...
номер 45 (страница 22) гдз по алгебре 10-11 кла...
Гдз алгебра 10 класс колягин ткачева 2008 | Луч...
Решебник (гдз) по учебнику алгебра 10 класс Кол...
номер 156 (страница 62) гдз по алгебре 10-11 кл...
Решебник (гдз) по учебнику алгебра 10 класс Али...
номер 153 (страница 62) гдз по алгебре 10-11 кл...
номер 170 (страница 68) гдз по алгебре 10-11 кл...
Гдз по математике 10 класс автор колягин | Лучш...
ГДЗ решебник по алгебре 10-11 класс Алимов, Кол...
алгебра 10 класс алимов | PDF
Алимов учебник по алгебре 10-11 класс - читать ...