Дофаминовая ПЕТЛЯ для ТЕБЯ. #психология #самора...
ДОФАМИНОВАЯ ЗАВИСИМОСТЬ - YouTube
Лутбоксы: правда и мифы - презентация онлайн
Дофамин. То, ради чего я встаю утром с постели.
Зожник | Дофамин и достижение целей: как получи...
Дофамин: самый нужный гормон. Как молекула упра...
ДОФАМИНОВАЯ ЗАВИСИМОСТЬ И ДОФАМИНОВОЕ ГОЛОДАНИЕ...
Дофаминовая нация. Обретение равновесия в эпоху...
Книги Гормоны Серотонин Дофамин – Telegraph
Что не так с дофаминовым голоданием и почему ис...
Как бороться с зависимостями? В своей книге «До...
Читающая нация. | Пикабу
Дофамин Пнг – Telegraph
Livro - Nação Dopamina - YouTube
Дофаминовая вечеринка
Дофамин | Пикабу
дофамин
«Дофаминовое голодание». В Кремниевой долине ра...
Дофамин - нейромедиатор удовольствия. - YouTube
Дофа Дофамин – Telegraph
Книга Астролябія Народження трагедії. Невчасні ...
Где Образуется Дофамин – Telegraph
Лекарства Увеличивающие Дофамин – Telegraph
Дофаминовая система, зависимость, мотивация - Y...
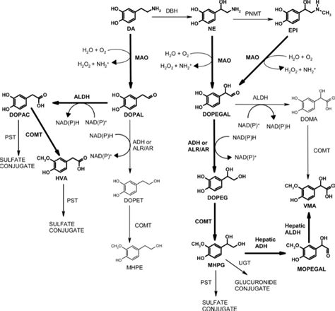
Синтез Дофамина Биохимия – Telegraph
Дофамин и мотивация – Telegraph
Дофаминовая нация или Как прекрасен этот мир, п...
Все Про Дофамин – Telegraph
Информация И Дофамин – Telegraph
Лекция 7. Дофамин | Открытые видеолекции учебны...