Мыши помогли Золушке приготовить волшебный раст...
Как избавиться от сухой мозоли? | МЦ Лазерсвiт ...
Лечение стержневых мозолей, удаление сухой мозо...
MOLZIN - Welcome to Gnosis
Резорцин (Resorcinum)
Лимон и аспирин за мазоли
Домашние средства от мозолей: 5 рецептов - heal...
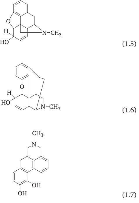
Морфин - Токсикологическая химия
Міноксидил 5% для жінок - від випадіння волосся
Методи лікування мозолів
Мозоль
RU2014107767A - Фармацевтические композиции на ...
Препараты на основе резорцин-формалиновой смолы...
flozin – All About Drugs
Мозолин - серия косметических средств
Как сделать раствор фурацилина и как им палоска...
Фармазолин - офіційна інструкція виробника: як ...
Medicinal Chemistry International: FLOZIN SERIE...
Make Paramagnetic Fluid ("Parafluid") - YouTube
Основний зміст роботи
Морфолин — свойства, получение и применение
Вазелин + лимонная кислота = флюс + канифоль - ...
Мозоль: виды, симптомы и лечение
Релефна мазилка - Теразид ЕООД
Мозолин — купить по низкой цене на Яндекс Маркете
Мозолин – Впитываясь в мозоли, натоптыши, бород...
Морфолин. Большая российская энциклопедия
FOLIXIDIL Minoxidil 15% - Лосьйон проти випадін...
Knigi-janzen.de - Мозоль Ка средство от мозолей...
Ревісол – інноваційна фунгіцидна діюча речовина...